物理の演習ノートはこれ一本でOK
名古屋大学 工学部 1年 みじゅまるさまー特派員
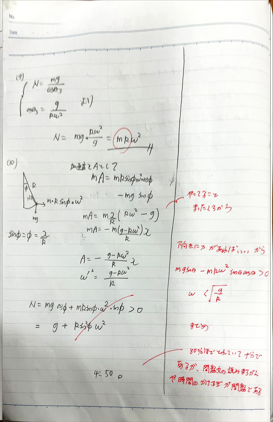
ノートの使用用途- 過去問を解き、丸付けや分析をしていたノート
POINT1問題を解くところから見直しまで一括に行うことができるノート
物理は問題を多く解いて解法を積み重ねていくことが重要であるのでこのノート法を使用していた。ポイントは1ページを2:1に分割して使用することである。左側の大きい部分を解答欄として利用し、右側の小さい部分を間違えた部分や改善するべき部分をまとめたものとして利用している。この使い方のメリットは、ノートを後で見たときに右側を見ればどこが足りないのかが一目でわかるところである。そのため、後に復習するときに必要な部分だけを複数できるため効率を高めることができる。
POINT2記述を意識して答案作成をする練習になるノート
物理の問題を解くときいきなり式を書いて答えを出している人がとても多い。このような人は本番で求めた道筋を記述しないといけない問題に遭遇したときにどうすればいいのか分からず、多くの時間を使ってしまいまう。そのため、記述を丁寧に書くことを日頃から意識づけておくことによって本番に記述問題が出たときにうまく対応することができる。自分の行っていた記述の方法は、図、法則名(エネルギー保存則より のような)、式、答えの4つを入れることである。これらがしっかり含まれていれば、減点されることはほぼない。
POINT3図をしっかり書くことの重要性
図をしっかり書くことは状況を把握するのに必要不可欠である。よく、図を書かずに立式したり、問題文に書かれている図に直接書き込んで立式したりする人がいる。このような解き方をしている人はよく間違えているのを見かける。例えば、図を書かずに頭の中で計算していた人は符号を間違えていた。対して、自分で図を書けば符号を間違えるというミスを減らすことができる。このように自分で図をかいて状況をつかむことは、多く得点を獲得するためには重要である。
※画像をクリックタップで拡大
- ADVICE
- ノートは自分の考えをまとめたり保存したりするのに役立つ便利なツールである。そのため、効果的なノートの取り方を身につけていくことは自身の学力の向上につながるとても良い方法である。しかしながら、ノートの作成をする上で気をつけてほしいポイントがある。それは、ノートに書くというのは効率よく内容理解をするための手段であり、目的ではないということである。一部の人は、ノート作成時に多くのマーカーペンを使って見やすくしたり、とてもこだわったレイアウトで書いたりしている。こうした工夫にあまり時間をかけすぎると限られた勉強時間を有効に活用できなくなってしまう。そのため、ノート作成に必要以上に時間をかけるよりも、自分の考えをまとめたり保存したりするのに必要最低限な要素を書いたノートをたくさん作って数をこなしていくべきである。







